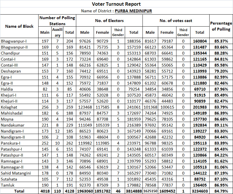
সংবাদদাতা, পূর্ব মেদিনীপুর : বৃষ্টিকে উপেক্ষা করেই পূর্ব মেদিনীপুর জেলায় শেষ পর্যন্ত ৮৪.৭৯ শতাংশ ভোট (Panchayat Election) পড়ল। জেলার ২৫টি ব্লকের মধ্যে সবচেয়ে বেশি ভোট পড়েছে নন্দকুমার ব্লকে (৮৯.১১ শতাংশ)। সবচেয়ে কম শতাংশ কাঁথির দেশপ্রাণ ব্লকে (৭৯.২০ শতাংশ)। জেলার মোট ৪১২৮ বুথের বেশ কটিতে রাত পর্যন্ত ভোট হয়। মোট ৩২,৩৪,৬০৩ ভোটার গণতান্ত্রিক অধিকার প্রয়োগ করেন। এঁদের মধ্যে পুরুষ ভোটারের সংখ্যা ছিল ১৬,২৫,১৫০ জন। মহিলা ভোটার ছিলেন ১৬,০৯,৪৫২ জন এবং ১ জন তৃতীয় লিঙ্গের ব্যক্তি। যে দুটি ব্লকের উপর সারা রাজ্যের নজর ছিল, সেই নন্দীগ্রাম ১ ব্লকে ভোট পড়েছে ৮৩.৩০ শতাংশ। নন্দীগ্রাম ২ ব্লকে একটু বেশি, ৮৪.৪৪ শতাংশ ভোট পড়েছে। হলদিয়াতে ভোট পড়েছে ৮৭.৯৬ শতাংশ। বিজেপির সন্ত্রাস-কবলিত ময়না ব্লকের ১৫৪টি বুথে ভোট (Panchayat Election) পড়েছে ৮৬.৬৮ শতাংশ। জেলা প্রশাসনের দেওয়া পরিসংখ্যান বলছে, মন্ত্রী অখিল গিরির রামনগর বিধানসভা এলাকায় রামনগর ১ ব্লকে ভোট পড়ে ৮১.৬২ শতাংশ। রামনগর ২ ব্লকে ৮১.০৬ শতাংশ। মৎস্যমন্ত্রী বিপ্লব রায়চৌধুরীর কোলাঘাট ব্লকের ২৫৯টি বুথে ভোট পড়েছে ৮৩.৭৯ শতাংশ। পূর্ব মেদিনীপুর জেলা পরিষদের বিদায়ী সভাধিপতি উত্তম বারিক খেজুরি ১ ব্লকে জেলা পরিষদ আসনে প্রতিদ্বন্দ্বিতা করেছেন। সেখানে ভোট পড়েছে ৮৫.৪৯ শতাংশ।


